Vamos a abordar la segunda entrada dedicada al álgebra, en la anterior vimos cómo resolver la ecuación de segundo grado (aunque la mayoría ya lo sabia) y su interpretación geométrica.
¡Vamos a por la ecuación cúbica!
El descubrimiento de la solución está lleno de polémica sobre quien fue el verdadero descubridor, incluso hoy en día. Se le atribuye a Cardano en su famoso libro "Ars Magna" en 1545 la primera publicación rigurosa de la solución general completa de la ecuación de tercer grado y de la de cuarto y de los números imaginarios. Sin embargo a él le comunicó la solución de la ecuación reducida (sin término al cuadrado) Tartaglia. La leyenda dice que bajo juramento de no revelar el secreto de la solución; de todas formas parece que ya era un secreto a voces por la región y la época Cardano se animó a publicar (y Tartaglia disputó...). Para colmo no fue ninguno, ya que consta que en 1515 ya la había logrado Scipione dal Ferro.Y la ecuación de cuarto grado la resolvió un discípulo de Cardano llamado Lodovico Ferrari. Cardano no negó ninguna de estas cosas... fue un gran recopilador y comunicador.
Vamos a volver a recordar que el álgebra en esta época era una cuestión de pura audacia e ingenio, no había ningún método general para abordar este tipo de problemas.
La ecuación general es del tipo:
La primera idea genial: hacer un cambio de variable:
para que tras resolver los cálculos se elimine el término al cuadrado y sólo quede la expresión "reducida":
Para desarrollarlo, haremos un breve paréntesis, como desarrollar el cubo de una suma o una resta:
Cuya interpretación geométrica y representación gráfica es muy ilustrativa:
Desarrollando...
Agrupando los coeficientes del mismo grado:
Para no arrastrar toda esa expresión llamaremos p y q a los términos de los paréntesis. Notar que el término de z al cuadrado desaparece tal y como queríamos:
Ahora viene la Segunda Idea Feliz, o segunda argucia: Nuevo cambio de variable: z = u + v
Desarrollando:
Reagrupamos de un modo peculiar. así:
Como hemos introducido una variable adicional (u y v) en lugar de sólo una inicial z, podemos imponer una condición adicional para que el resultado coincida y sea el deseado:
Empleamos un par de trucos más: como llamar U al cubo de u, y V al cubo de v:
Podemos demostrar que entonces U y V son las soluciones de la ecuación cuadrada:
Donde U+V = -q; y UV=-P^3/27.. ya que:
Resolviéndola,como ya sabemos y deshaciendo todos los cambios de variable hacia atrás, como si de muñecas rusas se tratara...obtenemos estas tres soluciones: (que nadie se asuste):
Usualmente se les suele llamar así:
Donde alfa y beta son las soluciones de la ecuación cuadrática anterior,y omega y omega al cuadrado son las otras dos soluciones de raíz cubica de 1 (la primera es trivial y es 1).
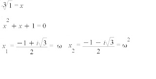
Ya que la raíz cubica de 1 es 1, factorizamos el polinomio por Ruffini, sabiendo esa raíz, y nos queda un polinomio de grado dos que sabemos resolver:
La ecuacion de la linea superior es X^3=1; despejando X^3-1=0; luego sale 1 0 0 -1 de la linea superior (los ceros son por los terminos que no hay: X^2 y X). Como sabemos que una raiz es 1 (ya que 1 al cubo es 1) lo aplicamos...
Al dividir el polinomio resultante es 1 1 1, o sea X^2+X+1=0;
Como podemos ver es todo un pequeño monumento al ingenio y la paciencia..
Seguiremos en el próximo capitulo del álgebra, donde lo dejo el discípulo de Cardano, Ferrari quien resolvió también y de un modo muy similar la ecuación de cuarto grado.
Saludos Navideños
Francisco Jose Menchen



















6 comentarios:
Desde Colombia, cordial saludo.
Me interesa sobremanera su artículo pero me asalta una duda... y me gustaría que me ayudarás a resolverla.
Cuando estamos hallando las fórmulas, la primera raíz es "fácil" de hallar. Pero no he sido capaz con la segundo y la tercera, las que son combinaciones de las otras, me podrías ayudar a sacarlas? De verdad, son de mí intéres.... Gracias
Hola Dipacolve!
Es un placer ver que también nos siguen desde tu Hermosa Tierra!
No se si he entendido bien tu pregunta. ¿Quieres hacer un problema o ejemplo concreto y no te sale? ¿O bien quieres desarrollar todos y cada uno de los pasos de la demostración de la fórmula y no lo consigues?
Un abrazo
Francisco Menchen
Hola.
Ya pude encontrarlas. Debí hacer el proceso completo, es decir, los nueve productos, para determinar cuáles son los tres que realmente cumplen la condición inicial...
Gracias de todas formas....
Siempre me ha ido muy bien en matematica ya que estudio mucho y por eso trato de obtener ejercicios para practicar bastante. Hoy en dia todo lo que uno necesite, lo suele encontrar en internet y esta lleno de paginas que nos ayudan a practicar y entender los temas. Asi pude entender los ejercicios de ingles online
Creo que hay una erratilla, donde dice
Ya que la raíz cubica de 3 es 1, factorizamos el polinomio por Ruffini,
supongo que el 3 debería ser un 1.
Saludos
Muchas Gracias, Así era... un error tipográfico...¡Corregido!
Publicar un comentario